2025年9月12日恒丰万达(https://www.hdimpurity.com/)新增杂质现货10个杂质库存,奥匹卡朋、氯米帕明、瑞舒伐他汀、卢帕他定、米拉贝隆、托莫西汀、达沙替尼、乙哌立松等系列杂质,现货供应,图谱齐全!
1、奥匹卡朋杂质38

货号:O022038
英文名:Opicapone Impurity 38
同义词:4-chloro-3-methoxy-5-nitrobenzoic acid
CAS号:71001-78-0
分子式:C8H6ClNO5
分子量:231.59
性状:类白色固体,很好的固体

货号:C102010A
英文名:N-Desmethyl Clomipramine(Hydrochloride)
同义词:3-(3-chloro-10,11-dihydro-5H-dibenzo[b,f]azepin-5-yl)-N-methylpropan-1-amine hydrochloride
CAS号:N/A
分子式:C18H21ClN2.HCl
分子量:300.83 36.46
性状:白色固体,很好的固体

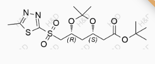
货号:R001047
英文名:Rosuvastatin Impurity 47
同义词:匹伐他汀杂质;tert-butyl 2-((4S,6R)-2,2-dimethyl-6-(((5-methyl-1,3,4-thiadiazol-2-yl)sulfonyl)methyl)-1,3-dioxan-4-yl)acetate
CAS号:N/A
分子式:C16H26N2O6S2
分子量:406.52
性状:白色固体,很好的固体

货号:R001027
英文名:Rosuvastatin isomer 27
同义词:N-(4-(4-fluorophenyl)-5-((E)-2-((2S,4S)-4-hydroxy-6-oxotetrahydro-2H-pyran-2-yl)vinyl)-6-isopropylpyrimidin-2-yl)-N-methylmethanesulfonamide
CAS号:N/A
分子式:C22H26FN3O5S
分子量:463.52
性状:白色固体,很好的固体
5、卢帕他定杂质27

货号:R010027
英文名:Rupatadine Impurity 27
同义词:(4-(8-chloro-6,11-dihydro-5H-benzo[5,6]cyclohepta[1,2-b]pyridin-11-yl)-5,6-dihydropyridin-1(2H)-yl)(5-methylpyridin-3-yl)methanone
CAS号:N/A
分子式:C26H24ClN3O
分子量:429.94
性状:红棕色固体,很好的固体
6、米拉贝隆杂质27

货号:M005027
英文名:Mirabegron Impurity 27
同义词:(R)-2-((2-nitrophenethyl)amino)-1-phenylethanol;
CAS号:N/A
分子式:C16H18N2O3
分子量:286.33
性状:淡黄色贵固体,很好的固体
7、托莫西汀杂质37

货号:A042037
英文名:Atomoxetine Impurity 37
同义词:N-(3-hydroxy-3-phenylpropyl)-N-methylnitrous amide
CAS号:2659259-65-9
分子式:C10H14N2O2
分子量:194.11
性状:白色固体,很好的固体
8、达沙替尼杂质1

货号:D015001
英文名:Dasatinib Impurity 1
同义词:4-(6-((5-((2-chloro-6-methylphenyl)carbamoyl)thiazol-2-yl)amino)-2-methylpyrimidin-4-yl)-1-(2-hydroxyethyl)piperazine 1-oxide
CAS号:910297-52-8
分子式:C22H26ClN7O3S
分子量:504
性状:白色固体,很好的固体

货号:F012025
英文名:Fasudil Nitroso Impurity 25
同义词:1,4-dinitroso-1,4-diazepane
CAS号:55557-00-1
分子式:C5H10N4O2
分子量:158.16
性状:黄色固体,很好的固体
10、乙哌立松杂质G

货号:E045012
英文名:Eperisone Impurity G
同义词:(E)-1,3-bis(4-ethylphenyl)-2-methylpent-2-en-1-one
CAS号:N/A
分子式:C22H26O
分子量:306.20
性状:淡黄色液体,有一点粘稠
更多产品,欢迎咨询严经理!
电话:18126518403(微信同号)
QQ:2851922760
精准分析,品质保证——助力您的药物研发与质量控制